Accuracy tests demonstrate that a candidate model performs while on audio. But field tests (using human volunteers) are required to ensure that the model runs appropriately on device.
Two kinds of on-device human field tests have been carried out:
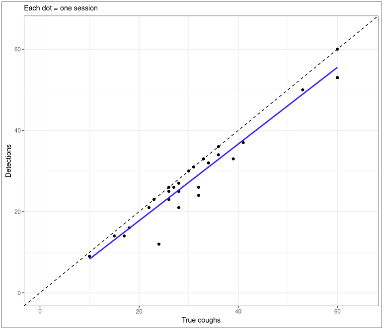
- 1,078 coughs, from 17 subjects, mostly in bouts
- 966 true positives (ie, sensitivity = 89.6%)
- 9 false positives (mostly throat clears following cough bouts)
The below shows the correlation between true coughs (x-axis) and cough detections (y-axis) from Test A.

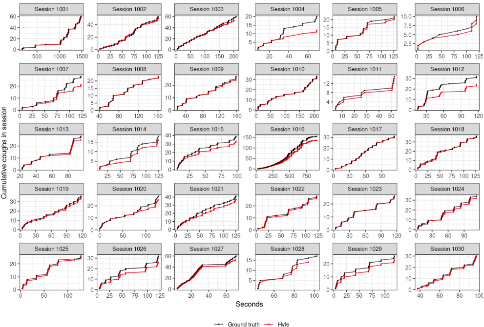
The below shows time elapsed (x-axis) and cumulative coughs (y-axis) for both ground truth (black) and Hyfe (red) as data sources.

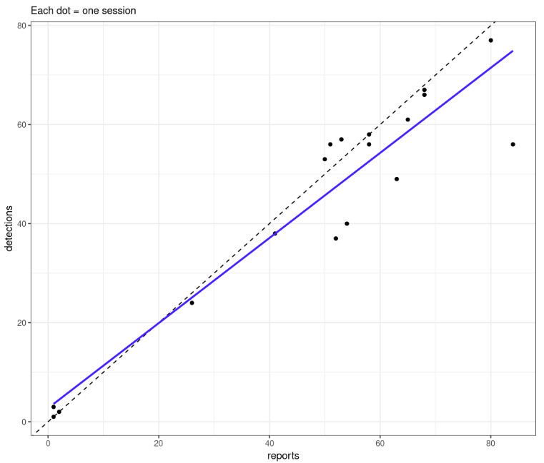
- 874 coughs from 10 subjects
- 830 detections
- (No segregation of true vs false positives, given that “ground truth” was human reported session-wise counts, not human labels or event-specific timestamps)
The below shows reported coughs (x-axis) and cough detections (y-axis).

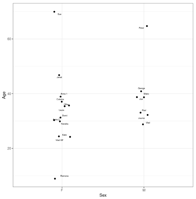
The below shows the age / sex distribution of participants in the above tests.
